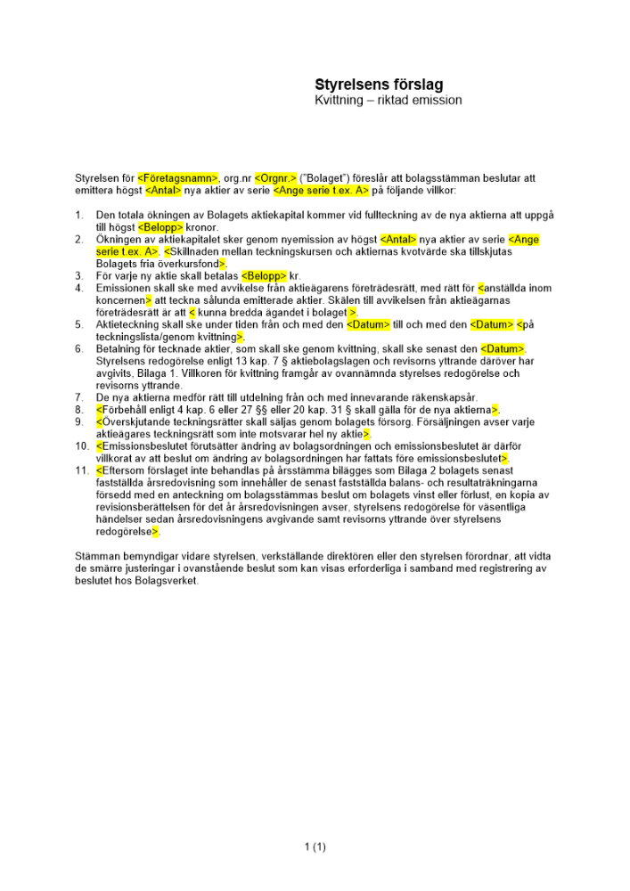
Styrelsens förslag - Riktad emission - kvittning - Publikt ej avstämningsbolag 2026

Denna mall från DokuMera hjälper dig att upprätta styrelsens förslag till riktad kvittningsemission i ett publikt aktiebolag som inte är avstämningsbolag.

En riktad emission är riktad till en viss grupp, t ex befintliga aktieägare. Oftast är den dock riktad till en eller flera externa placerare. Aktieägarna avstår då från sin rätt att teckna nya aktier vid en emission till förmån för någon annan eller andra, vilket bidrar till att bredda ägarbasen i bolaget.

Dokumentet som DokuMera har tagit fram är ett förslag från styrelsen till stämman om en riktad kvittningsemission i ett publikt bolag som inte är avstämningsbolag. Eventuell teckning ska enligt förslaget ske genom kvittning mot fordran som tecknaren av aktierna har gentemot bolaget.

Specifikation

  • Styrelsens förslag - Riktad emission - kvittning - Publikt ej avstämningsbolag 2026
  • 4911
  • 1,19
  • Svenska
  • 6
  • 1
  • docx
595 kr
Välj din plan

Med vårt abonnemang får du obegränsad tillgång till alla våra dokument och guider